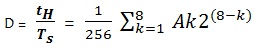
In order to design the pulse width modulation, the output pulse width tH relative to the period Ts is determined by either an analog input voltage vm or by an 8 Bit digital input
![]() |
Where VM is constant. The output duty ratio goes from D = 0 for vm ≤ 0, to D = 1 for vm ≥ VM, with the digital PWM in put A, the duty ratio D is determined by the fractional binary value of A.
![]() |
![]() |
![]() |
![]() |







